top of page
Pay Sewer Bill Online
HOME
ABOUT
Why Darke County?
The Best of Darke County
Communities
Township Info
Frequently Asked Questions
COUNTY OFFICES
Auditor
Clerk of Courts
Commissioners
Coroner
Engineer
Prosecutor
Recorder
Sheriff
Treasurer
ELECTED OFFICIALS
SERVICES
Airport
Animal Control
Board of Elections
Building Regulations
County Administration
County Courts
County Highway Garage
County Parks
Developmental Disabilities
Economic Development
Emergency Management
Educational Services
Fair Housing
Fire & Rescue
Health Services
Job & Family Services
Public Libraries
Sheriff's Office
Solid Waste
Veteran Services
Zoning
RESOURCES-JOB OPPORTUNITIES
ITEMS FOR SALE
NEWS
CONTACT
More
Use tab to navigate through the menu items.
All Posts
Commissioners' Minutes & Agendas
Commissioners' Office Announcements
FRONT PAGE NEWS
Resources
Search
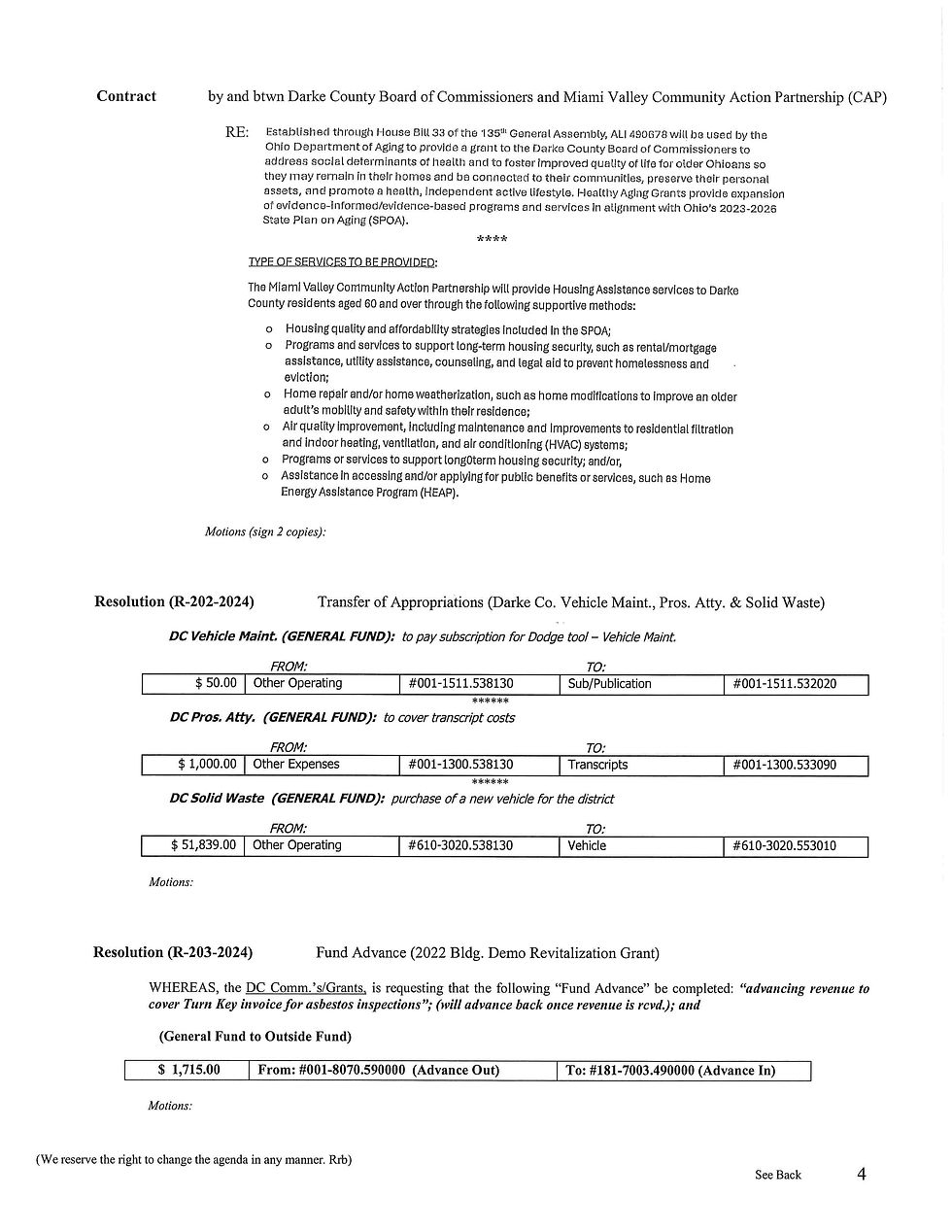
Session Agenda - Tuesday, June 18, 2024 (FINAL)
DC Commissioners
Jun 18, 2024
0 min read
Recent Posts
See All
Session Minutes - Tuesday, May 12, 2026
Session Agenda-Thursday, May 14, 2026
Session Minutes-Thursday, May 7, 2026 (Final Signature to Follow)
Comments
Write a comment...
Write a comment...
bottom of page
Comments